大一統視角理解擴散模型Understanding Diffusion Models: A Unified Perspective(1)
這篇文章是近期筆者閱讀擴散模型的一些技術博客和概覽的一篇梳理。主要參考的內容來自Calvin luo的論文,針對的對象主要是對擴散模型已經有一些基礎了解的讀者。Calvin luo 的這篇論文為理解擴散模型提供了一個統一的視角,尤其是其中的數理公式推導非常詳盡,本文將試圖盡量簡要地概括一遍大一統視角下的擴散模型的推導過程。在結尾處,筆者附上了一些推導過程中的強假設的思考和疑惑,并簡要討論了下擴散模型應用在自然語言處理時的一些思考。
本篇閱讀筆記一共參考了以下技術博客。其中如果不了解擴散模型的讀者可以考慮先閱讀lilian-weng的科普博客。Calvin-Luo的這篇介紹性論文在書寫的時候經過了包括Jonathan Ho(DDPM作者), SongYang博士 和一系列相關擴散模型論文的發表者的審核,非常值得一讀。
1. What are Diffusion Models? by Lilian Weng
2. Generative Modeling by Estimating Gradients of the Data Distribution by Song Yang
3. Understanding Diffusion Models: A Unified Perspective by Calvin Luo
生成模型希望可以生成符合真實分布(或給定數據集)的數據。我們常見的幾種生成模型有GANs,Flow-based Models, VAEs, Energy-Based Models 以及我們今天希望討論的擴散模型Diffusion Models. 其中擴散模型和變分自編碼器VAEs, 和基于能量的模型EBMs有一些聯系和區別,筆者會在接下來的章節闡述。
常見的幾種生成模型
在介紹擴散模型前,我們先來回顧一下變分自編碼器VAE。我們知道VAE最大的特點是引入了一個潛在向量的分布來輔助建模真實的數據分布。那么為什么我們要引入潛在向量?有兩個直觀的原因,一個是直接建模高維表征十分困難,常常需要引入很強的先驗假設并且有維度詛咒的問題存在。另外一個是直接學習低維的潛在向量,一方面起到了維度壓縮的作用,一方面也希望能夠在低維空間上探索具有語義化的結構信息(例如圖像領域里的GAN往往可以通過操控具體的某個維度影響輸出圖像的某個具體特征)。
引入了潛在向量后,我們可以將我們的目標分布的對數似然logP(x),也稱為“證據evidence“寫成下列形式:
ELBO的推理過程
其中,我們重點關注式15. 等式的左邊是生成模型想要接近的真實數據分布(evidence),等式右邊由兩項組成,其中第二項的KL散度因為恒大于零,所以不等式恒成立。如果在等式右邊減去該KL散度,則我們得到了真實數據分布的下界,即證據下界ELBO。對ELBO進行進一步的展開,我們就可以得到VAE的優化目標
ELBO等式的展開
對該證據下界的變形的形式,我們可以直觀地這么理解:證據下界等價于這么一個過程,我們用編碼器將輸入x編碼為一個后驗的潛在向量分布q(z|x)。我們希望這個向量分布盡可能地和真實的潛在向量分布p(z)相似,所以用KL散度約束,這也可以避免學習到的后驗分布q(z|x)坍塌成一個狄拉克delta函數(式19的右側)。而得到的潛在向量我們用一個****重構出原數據,對應的是式19的左邊P(x|z)。
VAE為什么叫變分自編碼器。變分的部分來自于尋找最優的潛在向量分布q(z|x)的這個過程。自編碼器的部分是上面提到的對輸入數據的編碼,再解碼為原數據的行為。
那么提煉一下為什么VAE可以比較好地貼合原數據的分布?因為根據上述的公式推導我們發現:原數據分布的對數似然(稱為證據evidence)可以寫成證據下界加上我們希望近似的后驗潛在向量分布和真實的潛在向量分布間的KL散度(即式15)。如果把該式寫為A = B+C的形式。因為evidence(即A)是個常數(與我們要學習的參數無關),所以最大化B,也就是我們的證據下界,等價于最小化C,也即是我們希望擬合的分布和真實分布間的差別。而因為證據下界,我們可以重新寫成式19那樣一個自編碼器的形式,我們也就得到了自編碼器的訓練目標。優化該目標,等價于近似真實數據分布,也等價于用變分手法來優化后驗潛在向量分布q(z|x)的過程。
但VAE自身依然有很多問題。一個最明顯的就是我們如何選定后驗分布q_phi(z|x)。絕大多數的VAE實現里,這個后驗分布被選定為了一個多維高斯分布。但這個選擇更多的是為了計算和優化的方便而選擇。這樣的簡單形式極大地限制了模型逼近真實后驗分布的能力。VAE的原作者kingma曾經有篇非常經典的工作就是通過引入normalization flow[1]在改進后驗分布的表達能力。而擴散模型同樣可以看做是對后驗分布q_phi(z|x)的改進。
Hierarchical VAE下圖展示了一個變分自編碼器里,潛在向量和輸入間的閉環關系。即從輸入中提取低維的潛在向量后,我們可以通過這個潛在向量重構出輸入。
VAE里潛在向量與輸入的關系
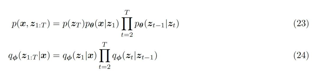
很明顯,我們認為這個低維的潛在向量里一定是高效地編碼了原數據分布的一些重要特性,才使得我們的****可以成功重構出原數據分布里的各式數據。那么如果我們遞歸式地對這個潛在向量再次計算“潛在向量的潛在向量”,我們就得到了一個多層的HVAE,其中每一層的潛在向量條件于所有前序的潛在向量。但是在這篇文章里,我們主要關注具有馬爾可夫性質的層級變分自編碼器MHVAE,即每一層的潛在向量僅條件于前一層的潛在向量。
MHVAE里的潛在向量只條件于上一層
對于該MHVAE,我們可以通過馬爾可夫假設得到以下二式
23和24式是用鏈式法則對依賴圖里的關系的拆解
對于該MHVAE,我們可以用以下步驟推導其證據下界
MHVAE的變分下界推導
我們之所以在談論擴散模型之前,要花如此大的篇幅介紹VAE,并引出MHVAE的證據下界推導是因為我們可以非常自然地將擴散模型視為一種特殊的MHVAE,該MHVAE滿足以下三點限制(注意以下三點限制也是整個擴散模型推斷的基礎):
- 潛在向量Z的維度和輸入X的維度保持一致。
- 每一個時間步的潛在向量都被編碼為一個僅依賴于上一個時間步的潛在向量的高斯分布。
- 每一個時間步的潛在向量的高斯分布的參數,隨時間步變化,且滿足最終時間步的高斯分布滿足標準高斯分布的限制。
因為第一點維度一致的原因,在不影響理解的基礎上,我們將MHVAE里的Zt表示為Xt(其中x0為原始輸入),則我們可以將MHVAE的層級潛在向量依賴圖,重新畫為以下形式(即將擴散模型的中間擴散過程當做潛在向量的層級建模過程):
擴散過程的直觀解釋:在數據x0上不斷加高斯噪聲直至退化為純噪聲圖像Xt
直至這里,我們終于見到了我們熟悉的擴散模型的形式。
而在將上面的公式25-28里的Zt與Xt替換后,我們可以得到VDM里證據下界的推導公式里的前四行,即公式34-37。并且在此基礎上,我們可以繼續往下推導。37至38行的變換是鏈式法則的等價替換(或上述公式23和24的變換),38至39行是連乘過程的重組,39至40行是對齊連乘符號的區間,40至41行應用了Log乘法的性質,41至42繼續運用該性質進一步拆分,42至43行是因為和的期望等于期望的和,43至44是因為期望目標與部分時間步的概率無關可以直接省去,44至45步是應用了KL散度的定義進行了重組。
VDM的證據下界推導
至此,我們又一次將原數據分布的對數似然,轉化為了證據下界(公式37),并將其轉化為了幾項非常直觀的損失函數的加和形式(公式45),他們分別為:
- 重構項,即從潛在向量x1到原數據x0的變化。在VAE里該重構項寫為logP(x|z),而在這里我們寫做logP(x0|x1)
- 先驗匹配項。回憶我們上述提到的MHVAE里最終時間步的高斯分布應建立為標準高斯分布
- 一致項。該項損失是為了使得前向加噪過程和后向去噪的過程中,Xt的分布保持一致。直觀上講,對一個更混亂圖像的去噪應一致于對一個更清晰的圖像的加噪。而因為一致項的損失是定義于所有時間步上的,這也是三項損失里最耗時計算的一項。
雖然以上的公式推導給了我們一個非常直觀的證據下界,并且由于每一項都是以期望來計算,所以天然適用蒙特卡洛方法來近似,但如果優化該證據下界依然存在幾個問題:
- 我們的一致項損失是一項建立在兩個隨機變量(Xt-1, Xt+1)上的期望。他們的蒙特卡洛估計的方差大概率比建立在單個獨立變量上的蒙特卡洛估計的方差大。
- 我們的一致項是定義于所有時間步上的KL散度的期望和。對于T取值較高的情況(通常擴散模型T取2000左右),該期望的方差也會很大。
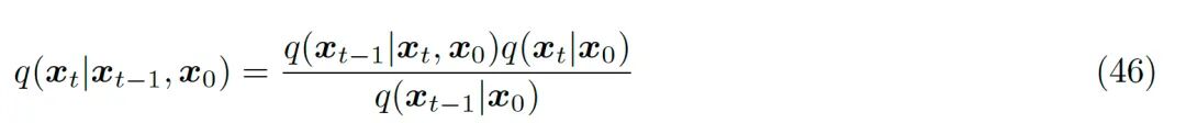
所以我們需要重新推導一個證據下界。而這個推導的關鍵將著眼于以下這個觀察:我們可以將擴散過程的正向加噪過程q(xt|xt-1)重寫為q(xt|xt-1, x0)。之所以這樣重寫的原因是基于馬爾可夫假設,這兩個式子完全等價。于是對這個式子使用貝葉斯法則,我們可以得到式46.
對前向加噪過程使用馬爾可夫假設和貝葉斯法則后的公式
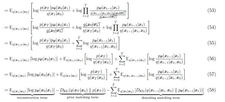
基于公式46,我們可以重寫上面的證據下界(式37)為以下形式:其中式47,48和式37,38一致。式49開始,分母的連乘拆解由從T開始改為從1開始。式50基于上文提及的馬爾可夫假設對分母添加了x0的依賴。式51用log的性質拆分了對數的目標。式52代入了式46做了替換。式53將劃掉的分母部分連乘單獨提取出來后發現各項可約剩下式54部分的log(q(x1|x0)/q(xT|x0))。式54用log的性質消去了q(x1|x0)得到了式55。式56用log的性質拆分重組了公式,式57如同前述式43-44的變換,省去了無關的時間步。式58則用了KL散度的性質。
應用了馬爾可夫假設的擴散模型證據下界推導1
應用了馬爾可夫假設的擴散模型證據下界推導2
至此,我們應用了馬爾可夫假設得到了一個更優的證據下界推導。該證據下界同樣包含幾項直觀的損失函數:
- 重構項。該重構項與上面提及的重構項一致。
- 先驗匹配項。與上面提及的形式略有差別,但同樣是基于最終時間步應為標準高斯的先驗假設
- 去噪匹配項。與上面提及的一致項的最大區別在于不再是對兩個隨機變量的期望。并且直觀上理解p(xt-1|xt)代表的是后向的去噪過程,而q(xt-1|xt, x0)代表的是已知原始圖像和目標噪聲圖像的前向加噪過程。該加噪過程作為目標信號,來監督后向的去噪過程。該項解決了期望建立于兩個隨機變量上的問題。
注意,以上的推導完全基于馬爾可夫的性質所以適用于所有MHVAE,所以當T=1的時候,以上的證據下界和VAE所推導出的證據下界完全一致!并且本文之所以稱為大一統視角,是因為對于該證據下界里的去噪匹配項,不同的論文有不同的優化方式。但歸根結底,他們的本質互相等價,且皆由該式展開推導得到。下面我們會從擴散模型的角度做公式推導,來展開計算去噪匹配項。(注意第一版的推導里的一致項,也完全可以通過下一節的方式得到q和p的表達式,再通過KL來計算解析式)
*博客內容為網友個人發布,僅代表博主個人觀點,如有侵權請聯系工作人員刪除。
物聯網相關文章:物聯網是什么







