基礎知識 | 目標檢測中Anchor的認識及理解
1
背景
近期好多同學在私信讓我說一些基礎性的知識。好多入門的同學在糾結Anchor的設置,而且部分同學私信,可不可以把這個基礎知識詳細說一次,今天就單獨開一次小課,一起來學習Faster R-CNN中的RPN及Anchor。
說到RPN和Anchor,應該立馬就能想到Faster R-CNN網絡框架,這個我平臺在之前就有詳細的介紹過。
往期回顧
● 深度學習近期總結分析
有興趣的可以點擊進入看看,當作復習一下。首先我先將幾類經典的目標檢測網絡做一個對比,然后開始說說今天要講的知識。
最開始出現的是R-CNN,如下圖:
從上圖可以看出其框架做了很多重復的計算,在第二步之后,如果有2k個proposals,那后面就要執行2k邊,太低效。于是,出現了改進的SSP-Net,如下圖:
SSP-Ne框架組合了Classification和Regression,做成單個網絡,并且可以Een-to-End進行訓練,速度上提高許多。但是,SSP-Net還是基于Selective Search產生proposal,之后就出現了Fast R-CNN,其是融合了R-CNN和SPP-Net的創新,并且引入多任務損失函數,使整個網絡的訓練和測試變得十分方便。
但是Region proposal的提取還是使用了Selective Search,目標檢測時間大多消耗在這上面(大約region proposal需2~3s,而提特征分類只需0.32s),這種是無法滿足實時應用,而且并沒有實現真正意義上的端到端訓練測試(因為region proposal使用了Selective Search先提取處來)。
于是就有了直接使用CNN產生region proposal并對其分類,這就是Faster R-CNN框架,如下圖:
Faster R-CNN將proposals交給了CNN去生成,這樣Region Proposal Network(RPN)應運而生。
2
Faster RCNN
仔細看看Faster R-CNN框架,其實還保留了Fast R-CNN的框架,其主要就是CNN+RPN。其中RPN主要就是負責生成proposals,然后與最后一層的feature map一起使用,用ROI Pooling生成固定長度的feature vector。具體如下:
那接下來開始好好的說一下RPN和Anchor!下圖是我從網絡copy過來的,應該更加能理解整體的流程及內容。
在上圖中,紅色的3x3紅框是其中一個滑窗的操作過程,注意這里的Anchor是原圖像像素空間中的,而不是feature map上的。這樣的話,就可以很好去知道Anchor的意思,而且Anchor對于RPN非常重要。
現在,我們假設現在的feature map尺寸為W x H x C(13x13x256就是feature map的Width=13,Height=13和Channel=256),在feature map使用滑動窗口的操作方式,當前滑窗的中心在原像素空間的映射點就稱為Anchor,并且以Anchor為中心去生成K(paper中default K=9,3個尺寸和3個縮放比例)個proposals。
在feature map上滑動一次,得到一個小網絡,該網絡輸入是3x3x256,經過3x3x256x256的卷積,就可以得到1x1x256的低維特征向量。
然后就得到上圖的兩個分支。
Classification:經過1x1x256x18的卷積核,得到1x1x18的特征向量,分別代表9個proposals的Object的概率(是或不是);
Regression:經過1x1x256x36的卷積核,得到1x1x36的特征向量,分別代表9個proposals的(長寬及中心點坐標)。
注意,上面只是一個小網絡,也就是一個3x3滑窗的過程及結果,在網絡整體運行的過程中,要將整個feature map都要滑動一遍,最終就會得到兩個損失函數:
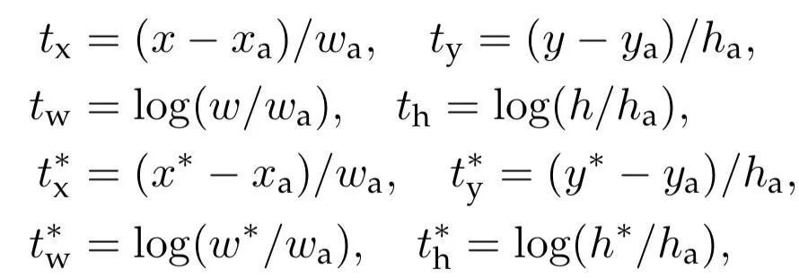
其中就是Classification(Lcls)和Regression(Lreg)兩個損失。對于邊界框的回歸,其是采用以下4個坐標的參數化:
綜上,通過滑窗和Anchor機制就可以找到固定比例、一定大小的proposals,這樣RPN就可以完美替代低效的Selective Search去產生proposals。
最終,在目標檢測領域中,這個框架算是一個里程碑,值得大家學習與深入探索。最后的檢測結果也是不錯的。
*博客內容為網友個人發布,僅代表博主個人觀點,如有侵權請聯系工作人員刪除。
高通濾波器相關文章:高通濾波器原理 隔離器相關文章:隔離器原理






