SSD7-FFAM | 對嵌入式友好的目標檢測網絡
對計算和內存的高需求是將現有目標檢測網絡部署到嵌入式設備中的最大挑戰。現有的輕量級目標檢測器直接使用輕量級神經網絡架構,如MobileNet或在大尺度分類數據集上預先訓練,導致網絡結構靈活性差,不適用于某些特定場景。
在今天分享中,有研究者提出了一種輕量級目標檢測網絡Single-Shot MultiBox Detector(SSD)7種特征融合和注意機制(FFAM),該網絡通過減少卷積層數,節省了存儲空間,減少了計算量。研究者有提出了一種新的特征融合和注意機制(FFAM)方法來提高檢測精度。首先,FFAM方法將高級語義信息豐富的特征圖與低級特征圖進行融合,提高了小目標的檢測精度。采用由通道和空間注意模塊級聯的輕量級注意機制,增強目標的上下文信息,引導網絡關注其易于識別的特征。
在NWPU VHR-10數據集上,SSD7-FFAM實現了83.7%的mAP、1.66MB參數和0.033s的平均運行時間。結果表明,該SSD7-FFAM更適合于部署到嵌入式設備上進行實時目標檢測。
如果這種技術應用在現在的幼兒園,再和行為識別共同作用,是不是就可以保障小孩子的安全及行跡跟蹤。
二、背景及動機
近年來,對可應用于嵌入式設備的輕量級目標檢測網絡的研究吸引了越來越多的研究者。不同的人工設計的輕量級神經網絡架構已被用于目標檢測,如谷歌提出的輕量級網絡架構MobileNet,它使用深度可分離卷積而不是標準卷積。Face++通過逐點群卷積核信道變換技術,提出了ShuffleNet。
由Iandola等人介紹的SqueezeNet,它由兩個部分組成,一個壓縮層(壓縮)和一個膨脹層(膨脹),通過減少壓縮層中的通道數,減少了整個模型所需的計算量。AF-SSD應用了MobileNetV2和額外的卷積層,以ShuffleNetV2和深度可分離卷積作為輕量級主干。實驗結果表明,AF-SSD是一種快速、準確、參數較少的檢測器。許多其他研究表明,使用這些輕量級網絡作為主干的目標探測器取得了最先進的結果。然而,這些輕量級網絡在使用它們作為目標檢測的主干網絡之前,需要在通用數據集如ImageNet上進行預訓練。預訓練通常在一般圖像分類任務的數據集上進行,因此很難將它們移植到特定的應用場景中,如醫學圖像檢測。同時,這些預訓練的網絡模型具有大量的參數和固定的結構,使得難以優化。
Single-Shot MultiBox Detector
Single-Stage Detectors代表之一——SSD
yolo我們“計算機視覺研究院”已經分享了很多,如
Deep Feature Fusion
特征融合就有很多類似的案例,我們今天就不專門講解了!
三、新框架
Specific Structure of SSD7-FFAM
上圖就描述了提出的SSD7-FFAM的具體結構。在SSD中,由VGG提取的特征圖和附加卷積層分別用于目標的定位和分類。然而,初始的淺層特征圖缺乏重要的語義信息,這個問題導致檢測精度低于兩級檢測器。因此,SSD不利于對小物體的檢測。
與SSD7不同的是,所提出的SSD7-FFAM采用了兩個新的模塊:特征融合模塊和基于SSD7的注意模塊,以彌補由于卷積層的下降所導致的檢測精度的降低。特征融合模塊將兩個不同尺度的特征圖組合成轉換后的新的特征圖。該模塊增強了淺層特征圖的語義信息。注意模塊是一個結合了通道注意和空間注意的輕量級模塊。它顯著地提高了網絡性能,同時提供了少量的計算和參數。
Feature Fusion Module
上圖顯示了SSD7-FFAM中使用的特征融合模塊結構示例。新的Conv4特征圖與其他兩個特征圖一起傳遞到注意模塊。
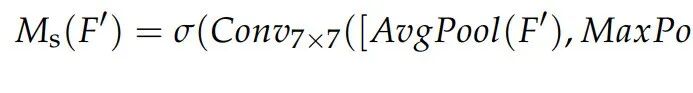
Attention Module
Channel Attention Module
Spatial Attention Module
[Paying more attention to attention: Improving the performance of convolutional neural networks via attention transfer. In Proceedings of the ICLR 2017]的作者指出,通道維度中的合并操作可以突出顯示特征圖的信息區域。在通道注意模塊之后,研究者引入了一個空間注意模塊,以關注特征有意義的地方。
與信道注意類似,鑒于信道注意模塊之后的特征圖F0,空間注意模塊首先執行信道尺寸的平均池化和最大池化,以獲得兩個H×W×1信道特征,并根據信道將這兩個特征縫合在一起。然后,在7×7卷積層后得到權重系數MS,激活函數為sigmoid。空間注意模塊如上圖b所示,計算結果為:
四、實驗及分析
在NWPU VHR-10數據集上的測試結果
For each pair, the left (a,c,e) is the original image and right (b,d,f) is the result of the SSD7-FFAM. Each color corresponds to an object category in that image.
在VOC數據上的結果,如下表:
不同平均運行時間:
*博客內容為網友個人發布,僅代表博主個人觀點,如有侵權請聯系工作人員刪除。







